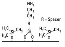
結構:
????? TSKgel NH2-100色譜柱的獨特之處不僅在于鍵合相配體具有末端氨基,連固定化手臂也同時包含了第二和第三氨基。陰離子化合物還可以通過離子交換作用得到保留。這樣,除了采用乙腈的梯度進行洗脫外,還可以使用鹽濃度梯度進行洗脫。由于TSKgel NH2-100柱具有陽離子性反應位點,在某些條件下,可以將這種色譜柱作為混合模式的色譜柱使用。
產品特點:
1. 親水性化合物的保留強、分離選擇性良好。
2. 比一般的氨基型色譜柱糖類的回收率高、耐久性良好。
3. 微粒子填料(3μm),實現了高通量,高分離,高理論塔板數。
4. 顯示與反相不同的選擇性。
5. 使用富含有機溶劑的洗脫液、因此適用于LC/MS(/MS)測定。
粒徑 | 3μm |
孔徑 | 100A |
鍵合相 | 氨基 |
pH 范圍 | 2~ 7.5 |

貨號 | 描述 |
021967 | TSKgel NH2-100,3μm,2.0mmI.D.×5cm |
021968 | TSKgel NH2-100,3μm,2.0mmI.D.×15cm |
021971 | 保護柱芯(對應2.0mmI.D., 3μm規格柱),3pk,2.0mmI.D.×1cm |
019308 | 保護柱套(對應產品P/N 21971),2.0mmI.D.×1cm |
021969 | TSKgel NH2-100,3μm,4.6mmI.D.×5cm |
021970 | TSKgel NH2-100,3μm,4.6mmI.D.×15cm |
021972 | 保護柱芯(對應4.6mmI.D., 5μm規格柱),3pk,3.2mmI.D.×1.5cm |
019018 | 保護柱套(對應產品P/N 21972),3.2mmI.D.×1.5cm |